- 更名公告:“中華全國工商業聯合會汽車經銷商商會”正式更名為“全聯汽車經銷商商會”
- 商務部:二手車交易持續活躍 異地交易量占比翻倍
- 國外二手車價格大漲 二手車出口市場火熱
- 江西開展機動車維修行業專項執法行動,重點檢查機動車維修經營備案情況!
- 中國管理科學研究院被撤銷登記,你考過它家的二手車評估師證嗎?
- 全國雞肋證書老大,終于倒了!你手上有這個單位發的報廢汽車拆解工假證嗎?
- 二手車出口企業怎么入局?有哪些難點?面臨哪些挑戰?
- 徐州豐縣 | 開展機動車維修市場聯合執法檢查,規范維修市場
- 惠州發布進一步認真落實機動車維修經營管理規定的通告
- 全聯汽車經銷商商會:2024年上半年汽車市場發展形勢分析會在長沙舉行
- 老百姓大藥房董事長謝子龍:適度放寬鄉鎮藥店開辦準入條件
高級汽車維修工模擬試題(B)
	
	
本試卷為中華汽車網校整理的二手車評估師考試試題,做完可進行查閱打分。
	
一、職業道德(正確的在括號內劃“√”,錯誤的在括號內劃“×”。每題0.5分,共5分)
( )1、職業道德是從事一定職業的人,在工作和勞動過程中,所遵循的與其職業活動緊密聯系的道德原則和規范的總和。
( )2、職業理想是指人們對未來工作部門和工作種類的向往和對現行職業發展將達到什么水平、程度的憧憬。
( )3、職業榮譽是熱愛職業、關心職業名譽的表現,是以從事此職業為榮的道德情感。
( )4、職業責任是指人們在一定職業活動中所承擔的特定職責。
( )5、職業技能是人們進行職業活動、履行職業責任的能力和手段。
( )6、愛崗敬業是現代企業精神。
( )7、誠實守信主要是人際交往關系的準則和行為。
( )8、辦事公道就是按照一定的社會標準實事求是待人處事。
( )9、誠實守信與企業形象沒關系。
( )10、職業紀律就是指規章制度。
	
 
二、計算機基礎知識(將正確答案前的字母填入括號內。每題1分,共10分)
1、世界上第一臺電子數字計算機于( )誕生。
A、1946年在法國 B、1946年在美國
C、1943年在英國 D、1943年在美國
2、計算機最早是應用在( )領域中。
A、科學計算 B、信息處理 C、自動控制 D、人工智能
3、CAD是( )的英文縮寫。
A、人工智能 B、電子商務 C、計算機輔助設計 D、辦公自動化
4、一個完整的計算機系統通常應包括( )。
A、系統軟件和應用軟件 B、計算機及外部設備
C、硬件系統和軟件系統 D、系統硬件和系統軟件
5、下面( )組設備包括了輸入設備、輸出設備和存儲設備。
A、顯示器、CPU和ROM B、磁盤、鼠標和鍵盤
C、鼠標、繪圖儀和光盤 D、鍵盤、掃描儀和軟盤
6、微型計算機的核心部件是( )。
A、顯示器 B、存儲器 C、運算器 D、微處理器
7、在計算機硬件組成中,主機應包括( )。
A、運算器和控制器 B、CPU和內存儲器
C、內存和外存 D、安裝在主機箱中的所有部件
8、控制器的功能是( )。
A、進行邏輯運算 B、進行算術運算
C、控制運算的速度 D、分析指令并發出相應的控制信號
9、表示存儲器的容量時,1MB的準確含義是( )。
A、1米 B、1 024字節 C、1 024K字節 D、1.000字節
10、計算機的內存容量通常是指( )。
A、RAM的容量 B、RAM與ROM的容量總和
C、軟盤與硬盤的容量總和 D、RAM、ROM、軟盤與硬盤的容量總和
	
 
三、單項選擇題(將正確答案前的字母填入括號內。每題1分,滿分30分)
1、檢測熱線式空氣流量傳感器時,將信號線與接地線之間接一塊電壓表,當輕敲傳感器殼體時,電壓表讀數閃動說明( )。
A、ECU工作異常 B、ECU工作正常
C、熱線式空氣流量傳感器故障
D、熱線式空氣流量傳感器工作正常
2、某汽油噴射式汽車在高速行駛時常出現失速現象,以下哪項正確?( )
A、汽油濾清器的流動阻力過大 B、汽油輸送管路破裂
C、回油管漏油 D、以上都正確
3、某汽油噴射式發動機的燃油壓力過低,以下哪項不正確?( )
A、汽油濾清器的阻力增大 B、回油管路堵塞
C、汽油噴射壓力調節閥損壞 D、噴油器漏油
4、某汽油噴射系統在發動機高速時汽油壓力過低,以下哪項正確?( )
A、噴油器滲漏 B、汽油壓力調節器在關閉位置卡住
C、電動汽油泵故障 D、以上都正確
5、某汽油噴射發動機有一缸工作不良,在尋找該缸時,以下哪項正確?( )
A、應逐缸拔下火花塞帽并觀察怠速降低情況
B、應逐缸拆下電磁式噴油器的線束接頭并觀察怠速降低情況
C、使用手提式診斷儀控制各缸電磁式噴油器的開、閉并觀察怠速變化
D、以上都正確
6、某電磁式噴油器的噴油孔堵塞后,以下哪項正確?( )
A、在計算機中可讀取該噴油器的故障碼
B、計算機中可能出現其它傳感器或執行器的故障碼
C、以上都正確 D、以上都不正確
7、某汽油噴射發動機冷啟動后易熄火,以下哪項不正確?( )
A、氧傳感器失效 B、進氣溫度傳感器故障
C、節氣門傳感器故障 D、進氣流量傳感器故障
8、進氣歧管壓力傳感器的測試基準電壓為( )。
A、3V B、5V C、8V D、12V
9、當檢測氧傳感器時信號電壓持續較低說明( )。
A、可燃混合氣過濃或氧傳感器被污染
B、可燃混合氣過稀或氧傳感器有故障
C、計算機和傳感器間線路不通
D、以上都不正確
10、計算機檢測到爆震信號后將( ),以消除爆震。
A、減小次級電壓 B、增大次級電壓
C、減小點火提前角 D、減小閉合角
11、氧化鋯氧傳感器工作正常時應處于( )。
A、200℃左右 B、300℃左右 C、400℃ D、500℃
12、溫度傳感器用來檢查發動機冷卻液溫度、進氣溫度和排氣溫度,作為燃油噴射及點火正時的( )。
A、修正信號 B、主控信號 C、反饋信號 D、以上都正確
13、電容式進氣壓力傳感器輸出信號的( )與進氣歧管內的絕對壓力成正比。
A、電壓 B、電流 C、頻率 D、功率
14、進行車輪轉速傳感器診斷時,當輸出電壓小于0.5V時,故障應在( )。
A、車輪轉速傳感器 B、傳感器和控制單元之間連線
C、控制單元 D、以上都不正確
15、測量節氣門位置傳感器的VTA和E2兩端電壓時,節氣門應處于( )。
A、全關 B、50%開度 C、75%開度 D、全開
16、( )不由發動機的計算機控制。
A、PCV閥 B、汽油蒸氣吸附系統
C、EGR D、氧傳感器
17、以下哪項不是由計算機的輸出電流直接驅動的?( )
A、噴油器電磁閥 B、空調繼電器
C、DIS(無分片器點火系統)點火線圈的初級回路
D、電動汽油泵
18、氣態制冷劑放熱變為液態制冷劑是在( )里進行的。
A、壓縮機 B、蒸發器 C、冷凝器 D、散熱器
19、空調壓縮機零件清洗應使用( )。
A、酒精 B、無鉛汽油 C、含鉛汽油 D、煤油
20、當制冷劑暴露在明火下將( )。
A、不會發生變化 B、產生有毒氣體
C、產生無害氣體 D、爆炸
21、關于自動變速器,液力變矩器中與變速器輸入軸轉速相同的零件是( )。
A、泵輪 B、導輪 C、渦輪 D、殼體
22、關于自動變速器,以下哪項是自動變速器計算機控制系統輸入端的零部件?( )
A、檔位電磁閥 B、液力變矩器控制電磁閥
C、液壓系統壓力控制電磁閥 D、以上都不正確
23、關于自動變速器,汽車行駛時,ATF的溫度( )發動機冷卻液的溫度。
A、高于 B、低于 C、等于 D、以上都不正確
24、關于自動變速器,如果ATF 進入發動機燃燒,故障部位通常為( )。
A、液壓閥體內油壓過高
B、自動變速器前油封漏油
C、調速閥(GOVERNER )損壞
D、調制閥(MODULATOR)損壞
25、自動變速器根據節氣門的開度及汽車的行駛速度,將液壓控制系統的油壓調整至規定值的是( )。
A、主調壓閥 B、手動閥 C、換檔閥 D、節流閥
26、在汽車上調整自動變速器的工作不包括( )。
A、調整節氣門閥拉線
B、調整離合器片組的工作間隙
C、調整檔位拉桿
D、調整自動變速器檔位開關
27、關于自動變速器,如果ATF呈暗褐色同時油尺上有不易擦掉的漆膜狀沉積物,以下哪項正確?( )
A、發動機的冷卻液進入自動變速器 B、ATF工作溫度過高
C、以上都正確 D、以上都不正確
28、測量電解液的密度通常是為了( )。
A、判斷蓄電池的電壓 B、確定蓄電池的額定容量
C、測量啟動電流 D、判斷蓄電池的放電狀態
29、在無觸點點火系中,初級電路的開閉是由( )控制的。
A、二極管 B、信號轉子 C、電容器 D、點火開關
30、如果蓄電池的正負極電纜接反,發電系統的( )將會損壞。
A、集成電路電壓調節器 B、整流器
C、電刷 D、定子繞組
	
 
四、判斷題(正確的在括號內劃“√”,錯誤的在括號內劃“×”。每題0.5分,滿分10分)
( )1.非增壓發動機的充氣系數均小于1。
( )2.氣門腳響單缸斷火響聲減弱或消失。
( )3.活塞敲缸的特征是溫度低時響聲較大,溫度升高后響聲減輕或消失。
( )4.發動機“拉缸”全是由于磨料磨損所造成的。
( )5.進氣門不密封造成的回火,拉阻風門會好轉。
( )6.混合氣過稀或過濃,是發動機過熱的原因之一。
( )7.空氣濾清器不清潔,易造成混合氣過濃。
( )8.柴油機霧化不良,則會造成混合氣燃燒不完全而冒白煙。
( )9.柴油機,柴油中有水結冰,會造成起動困難。
( )10.發動機“開鍋”后應立即加冷水進行冷卻。
( )11.機油進入了發動機燃燒室,發動機排氣管內會冒出白煙。
( )12.將離合器踏板踏到自由行程消除時,有“沙沙”響聲,表明分離軸承缺油或轉動不靈活。
( )13.變速桿球頭限位銷松曠、脫落或球頭磨損過量,將引起亂檔。
( )14.汽車轉彎時,車身后下部發響,多為差速器行星齒輪損壞。
( )15.兩前輪氣壓不一致可導致汽車行駛跑偏。
( )16.動力轉向系統中,氣壓式以其響應快,轉向靈敏度高,在現代汽車中得到廣泛應用。
( )17.ABS在減壓制動過程中制動主缸與制動輪缸不相通,此時制動輪缸的油液流回儲液室,使制動壓力降低。
( )18.柴油車排放的廢氣中對環境造成的最大污染是鉛化合物。
( )19.點火線圈的作用是將高壓電轉變成低壓電。
( )20.發電機的轉速等于發動機的轉速。
	
 
五、填空題(將正確答案填入題內劃線處。每空0.5分,滿分5分)
1. 汽油一般按其抗爆性能指標 ( ) 劃分牌號。
2. 發動機排量是指多缸發動機所有氣缸 ( ) 之和。
3. 氣缸體通常由( ) 鑄造。
4. 對發動機的設計、制造、修理的質量進行檢驗的最有效方法是發動機的 ( ) 。
5. 引起制動跑偏的主要原因是汽車左右兩輪制動器制動力 ( ) 。
6. 氣門間隙必須在 ( ) 狀態下進行檢查調整。
7. 噴油泵供油拉桿或供油齒條在最大位置犯卡會造成 。
8. 汽車在任何檔位都不走,屬于 ( ) 故障。
9. 制動踏板自由行程 ( ) ,會導致制動拖滯現象。
10. 汽車噪聲的檢測采用 ( ) 來測量。
六、問答題(1—4題為考技師必答題,3—6題為考高級技師必答題。每題5分,滿分20分)
1、汽油機產生爆震時有哪些現象?
2、變速器跳檔的原因是什么?
3、電控汽油噴射系統有哪些優點?
4、ABS(制動防抱死系統)是如何工作的?
5、維修電控汽油噴射系統必須遵循的操作規程有哪些?
6、液力式自動變速器主要由哪些部分組成?
	
 
七、計算題(1、2題為考技師必答題,3、4題為考高級技師必答題。每題10分,滿分20分)
1、某4缸發動機的缸徑為81.0mm,行程為86.4mm,求該發動機的排量。
2、某零件工作表面的萬km磨損量為0.005mm,裝配間隙為0.05mm,使用極限間隙為0.15mm,求該零件的使用壽命。
3、某舊零件拆下時的間隙為0.30mm,使用里程為8萬km,查其裝配間隙為0.10mm,求其萬km磨損量?
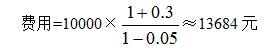
4、某型汽車大修工時為800h,結算工時單價為5元/h,材料費為6000元,利潤率γ為30%,稅率β為5%,問應向客戶收取多少大修費用Q?
一、
1、√ 2、√ 3、√ 4、√ 5、√
6、√ 7、√ 8、√ 9、× 10、×
二、
1、B 2、A 3、C 4、C 5、C
6、D 7、B 8、D 9、C 10、A
三、
1、C 2、A 3、B 4、C 5、C
6、B 7、A 8、B 9、B 10、C
11、B 12、A 13、C 14、C 15、D
16、A 17、D 18、C 19、B 20、B
21、C 22、D 23、A 24、D 25、A
26、B 27、A 28、D 29、B 30、B
四、
1、√ 2、× 3、√ 4、× 5、×
6、√ 7、√ 8、× 9、√ 10、×
11、× 12、√ 13、√ 14、√ 15、√
16、× 17、√ 18、× 19、× 20、×
五、
1、辛烷值 2、工作容積 3、灰鑄鐵 4、臺架試驗 5、不相等
6、氣門完全關閉 7、飛車 8、離合器 9、過小 10、聲級計
六、
1、答:(1)發動機內發生不規則的金屬敲擊聲。(2)發動機震顫。(3)冷卻系溫度過高。(4)燃料燃燒不完全,廢氣中有黑煙。(5)功率下降。(6)油耗增大。
2、答:(1)軸或齒輪被磨損,造成軸向間隙過大或零件松動。(2)軸承磨損,造成接觸面松曠而跳檔。(3)同步器磨損或缺陷。(4)嚙合齒的長度方向磨損成梯形,齒輪受軸向力的作用而脫出。(5)叉軸定位彈簧折斷或失效。
3、答:(1)充氣效率高,霧化混合好,功率能提高。(2)油耗下降。(3)加速性能、過渡性能、冷起動性能明顯提高。(4)供油系和點火系故障率低。(5)進氣管內沒有油膜存在,也提高經濟性。
4、答:車輪轉速傳感器檢測車輪速度,計算機計算滑移率,并與理想滑移率比較,作出增大或減小制動器壓力的決定,當車輪快抱死時,傳感器向控制單元發出相應信息,控制單元計算分析后向液壓調節器發出降低液壓的指令,液壓↓,制動力矩↓,車輪又重新滾動。傳感器將此信息再輸入控制單元,隨之液壓↑,制動力矩↑,車輪減速。如此循環往復,始終使車輪在微弱滑移滾動狀態下制動,而不完全抱死。
5、答:(1)點火開關接通時,不能斷開任何與電腦連接的電氣設備,以免自感高壓擊穿元件。(2)避免高磁性干擾源靠近電腦,如揚聲器,電焊作業時,應先斷開電源。(3)拆裝汽車電腦時,維修人員應先戴金屬手鏈,除靜電工作。(4)對電腦和傳感器測試時,應用高阻抗數字式測試儀表。
6、答:(1)變扭器。(2)行星齒輪變速器。(3)液力自動換檔控制系統。(4)電控裝置。(5)油的冷卻濾清裝置。
七、
1、排量=πD2/4×S×4=πD2×S=1.781L
2、最大磨損量=0.15mm-0.05mm=0.10mm
壽命=0.1/0.005=20
3、磨損量=0.30-0.10=0.20mm 0.20/8=0.025mm/萬km
4、成本=6000+800×5=10000
	  
 
	 
 
	
|   |   | 
 微信
微信





















 
 






 
         
        
